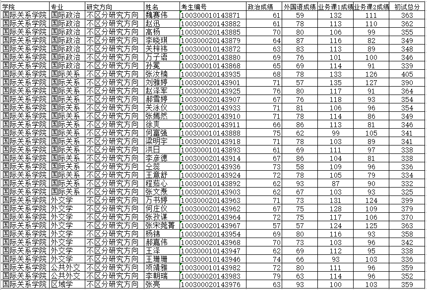
yl23411永利2020年硕士研究生入学考试复试名单

来源:yl23411永利 时间:2020-05-10 点击数:



Copyright 中国·yl23411(永利)集团官网-Officialwebsite 版权所有. 地址:北京市海淀区西三环北路2号/19号    邮编:100089  Supported by BFSU ITC